How To Calculate Compound Interest Daily

Is free in the itunes app store. In this video, you will learn how to calculate the time period when principal amount, final amount and rate of interest is known.

how to calculate compound interest daily Indeed lately has been hunted by consumers around us, maybe one of you personally. Individuals now are accustomed to using the internet in gadgets to see video and image data for inspiration, and according to the title of this article I will talk about about How To Calculate Compound Interest Daily.

Business Math Finance 5 Of 30 Compound Interest Daily

Play Download

Compound Interest Solving For Time

This video screencast was created with doceri on an ipad. is free in the itunes app store. learn more at http://www.doceri.com

Play Download

Precalculus Exponential Function 6 Of 13 Yearly Monthly Weekly Daily Compounded Interest

Visit http://ilectureonline.com for more math and science lectures! in this video i will find the money accumulated of an $1000 investment compounded yearly,...

Play Download

Compounding Semi Annually Quarterly And Monthly

Made with explain everything

Play Download

Compound Interest Formula Explained Investment Monthly Continuously Word Problems Algebra

This algebra & precalculus video tutorial explains how to use the compound interest formula solve investment word problems. contains plenty of ...

Play Download

Compound Interest Tutorial

Tutorial on solving compound interest problems.

Play Download

This video screencast was created with doceri on an ipad.

Tutorial on solving compound interest problems. This algebra & precalculus video tutorial explains how to use the compound interest formula solve investment word problems. Made with explain everything.

If you're looking for picture and video information related to the keyword How to calculate compound interest daily you ve come to pay a visit to the right blog. Our site provides you with suggestions for seeing the maximum quality video and image content, hunt and locate more enlightening video content and images that match your interests. How to calculate compound interest daily includes one of thousands of video collections from various sources, particularly Youtube, therefore we recommend this video that you see. It is also possible to bring about supporting this website by sharing videos and graphics that you like on this site on your social networking accounts like Facebook and Instagram or tell your closest friends share your experiences concerning the ease of access to downloads and the information that you get on this website. This blog is for them to stop by this website.

This algebra & precalculus video tutorial explains how to use the
compound interest formula solve investment word problems. contains
plenty of ...
Videos by julie harland are organized at http://yourmathgal.com
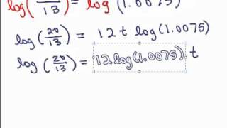
In this video, you will learn how to calculate the time period when
principal amount, final amount and rate of interest is known. also
calc...
Compound Interest Example 7 Calculate Time Period

In this video, you will learn how to calculate the time period when principal amount, final amount and rate of interest is known. also calc...

Play Download

Log Application 1 Compound Interest

Videos by julie harland are organized at http://yourmathgal.com

Play Download

How To Calculate Compound Interest Find Rate Compunded K N Times A Year Algebra 2 Al2 U4l7

Subscribe here http://goo.gl/2xxals for more cool math videos visit our site at http://mathgotserved.com or http:///mathsgotserved

Play Download

Precalculus Chapter 3 6 Compounding Interest Problems

Play Download

In this video i will find the money accumulated of an $1000 investment compounded yearly,.

Therefore by making this blog we only wish to make it much easier for users to find information to be applied as ideas. All content on this blog doesn t have an Admin, the Admin just wishes to provide advice Info that matches alongside the key word Precalculus Chapter 3 6 Compounding Interest Problems could possibly be helpful.

If you find this website useful to encourage us by discussing this site post to your treasured social media accounts such as Facebook, Instagram etc or you could also bookmark this site page with the title Precalculus Chapter 3 6 Compounding Interest Problems using Ctrl + D for computers with operating systems Windows or Control + D for laptop devices with Mac OS. Should you use a phone, you can also utilize the drawer menu of the browser you re using. When it's a Windows, Mac, iOS or Android functioning system, you will continue to be able to bookmark this site page.

Advertisement

You Might Like

  1. How To Calculate Compound Interest Daily
  2. How To Calculate Compound Interest Daily In Excel

More

How To Calculate Compound Interest Daily
How To Calculate Compound Interest Daily In Excel